StP 24 Nr. 6 Leibrenten und Zeitrenten
1. Einkünfte aus Leibrentenversicherung
1.1. Renten
Leibrenten sind periodisch wiederkehrende Leistungen, die auf das Leben eines oder mehrerer Berechtigten gestellt sind. Die Rentenberechtigung kann bis zum Ableben oder während bestimmter Zeit (temporäre Leibrente) bestehen, jedoch immer unter der Voraussetzung, dass der Berechtigte lebt.
Bei der Besteuerung von Leibrenten erfolgt ab der Steuerperiode 2025 eine Änderung bei den Staats- und Gemeindesteuern und der Direkten Bundessteuer. Bei den Staats- und Gemeindesteuern wird die Bestimmung des Steuerharmonisierungsgesetzes direkt angewandt.
Leibrentenversicherungen sowie Leibrenten- und Verpfründungsverträge sind im Umfang des in Artikel 7 Absatz 2 Bst. a StHG und Artikel 22 Absatz 3 Bst. a DBG festgelegten Ertragsanteil steuerbar (vgl. Berechnung Ziff. 1.7). Überschussleistungen aus Leibrentenversicherungen, die dem VVG unterstehen, sind nach Artikel 7 Absatz 2 Bst. a StHG bzw. 22 Absatz 3 Bst. b DBG zu 70% steuerbar.
Bei Leibrenten und Verpfründungen nach Obligationenrecht sowie bei ausländischen Leibrentenversicherungen wird der steuerbare Ertragsanteil gemäss Artikel 22 Absatz 3 Bst. c DBG neu in Abhängigkeit von der Durchschnittsrendite zehnjähriger Bundesobligationen ermittelt.
Die für die Besteuerung notwendigen Informationen werden vom Versicherer bescheinigt (vgl. Art. 127 Abs. 1 Bst. c DBG; Art. 19 VStG i.V.m. Art. 47 Abs. 6 VStV).
1.2. Rückkauf einer Leibrente
Der Rückkauf einer Leibrente ist ebenfalls nach § 24 Absatz 3 StG, Artikel 7 Absatz 2 Bst. a StHG und Artikel 22 Absatz 3 DBG grundsätzlich als Einkommen steuerbar.
Gemäss bundesgerichtlicher Rechtsprechung wird bei der direkten Bundessteuer beim Rückkauf einer Leibrente während der Aufschubszeit unterschieden, ob es sich um eine Kapitalleistung mit oder ohne Vorsorgecharakter handelt.
Beträgt die Vertragsdauer zum Zeitpunkt des Rückkaufs weniger als 5 Jahre und ist nicht mit einem vorzeitigen Tod des Versicherungsnehmers zu rechnen, handelt es sich um eine Kapitalleistung ohne Vorsorgecharakter, welche faktisch einer Zeitrente nahekommt. Diesfalls wird die Ertragskomponente (Differenz zwischen den Prämien und der Kapitalleistung) zu 100% als Ertrag aus beweglichem Vermögen im Sinne von Artikel 20 Absatz 1 DBG besteuert. Eine Besteuerung zum Rentensatz ist ausgeschlossen, da es sich um eine Einmalverzinsung handelt.
Bei Vertragsdauern von fünf und mehr Jahren zum Zeitpunkt des Rückkaufs wird von einer Kapitalleistung mit Vorsorgecharakter ausgegangen. Es erfolgt eine gesonderte Besteuerung der Erträge im Umfang der im Gesetz festgelegten Formel und 70% der Überschussleistungen als Kapitalleistung aus Vorsorge nach Artikel 38 DBG.
Beim Rückkauf einer laufenden Leibrente erfolgt dagegen in jedem Fall eine gesonderte Besteuerung der Rückkaufssumme der Erträge im Umfang der im Gesetz festgelegten Formel und 70% der Überschussleistungen als Kapitalleistung aus Vorsorge nach Artikel 38 DBG.
1.3. Kauf einer Leibrente anstelle einer Kapitalauszahlung
Je nach Versicherungsvertrag besteht für den Versicherten bei kapitalbildenden Lebensversicherungen die Möglichkeit, anstelle der Kapitalauszahlung bei Ablauf eine lebenslang zahlbare Rente zu verlangen. Dabei handelt es sich steuerrechtlich um den Kauf einer Leibrente. In einem solchen Fall sind die ausbezahlten Renten ebenfalls zum Leibrentensatz steuerbar.
1.4. Kapitalleistung infolge Tod
1.4.1. Allgemeines
Die Frage, ob eine Vorsorge- oder Versicherungsleistung der Einkommenssteuer unterliegt, ist unabhängig von einer allfällig vorhandenen Begünstigtenklausel zu beurteilen.
Gemäss einem Bundesgerichtsentscheid würde die Befreiung der Rückgewährsleistung einer Leibrentenversicherung im Todesfall von der Einkommenssteuer zu einer vom Gesetz nicht vorgesehenen Privilegierung solcher Versicherungen führen. Auch im Todesfall des Versicherungsnehmers untersteht die Rückgewährleistung daher für Erträge im Umfang der im Gesetz festgelegten Formel und 70% der Überschussleistungen der Einkommenssteuer. Steuersubjekt ist der oder die Begünstigte bzw. die Erben. Dabei erfolgt eine gesonderte Besteuerung als Kapitalleistung infolge Tod nach § 39 StG bzw. Artikel 38 DBG. Das Besteuerungsrecht steht dem Wohnsitzkanton der leistungsempfangenden Person zu.
Der Anteil der Rückgewährleistung, welcher die Erträge nach der im Gesetz festgelegten Formel und 70 % der Überschussleistung übersteigt, stellt nach pauschalisierter Sichtweise die Rückzahlung des vom Verstorbenen als Einlage geleisteten und noch nicht aufgebrauchten Kapitals dar. Im Sinne des Doppelbesteuerungsrechts ist sie damit der Erbschaft zuzuordnen, ungeachtet dessen, ob im Versicherungsvertrag eine Begünstigtenklausel enthalten ist. Dies bedeutet, dass dieser Anteil der Rückgewährsleistung dem Kanton des letzten Wohnsitzes des Erblassers zur Besteuerung zugewiesen wird. Sofern sich der letzte Wohnsitz des Erblassers im Kanton Thurgau befand, unterliegt dieser Betrag gemäss § 5 EStG der Erbschaftssteuer.
1.4.2. Rückgewährleistung an versicherungsvertraglich Begünstigte
Die im Versicherungsvertrag bezeichneten begünstigten Personen haben ein direktes Recht auf die Rückgewährleistung. Die begünstigte Person muss die zugeflossene Rückgewährsleistung im Umfang der im Gesetz festgelegten Formel der Erträge und 70% der Überschussleistungen als Einkommen in ihrem Wohnsitzkanton versteuern.
Für die restliche Rückgewährleistung hat die begünstigte Person allenfalls im letzten Wohnsitzkanton des Erblassers eine Erbschaftssteuer zu entrichten.
1.4.3. Rückgewährleistungen ohne Begünstigung
Fehlt im Versicherungsvertrag die Begünstigungsklausel, unterliegen die Erben gemäss ihrer Erbanteile für die Erträge im Umfang der im Gesetz festgelegten Formel und 70% der Überschussleistungen der Rückgewährleistung der Einkommenssteuer.
Die restliche Rückgewährleistung fällt in den Nachlass und unterliegt der Erbschaftssteuer am letzten Wohnsitz des Erblassers.
1.5. Abzug der bezahlten Leibrenten
Der Entrichter einer Leibrente kann gemäss § 34 Absatz 1 Ziffer 4 StG bzw. Artikel 33 Absatz 1 Bst. b DBG im Umfang der im Gesetz festgelegten Formel die von ihm bezahlten Leibrenten von den Einkünften abziehen.
Der Steuerpflichtige muss den Umfang der Leistungen genau bezeichnen unter Angabe des Namens und der Adresse des Empfängers bzw. der Empfängerin. Die-se Angaben sind der Steuererklärung beizulegen.
1.6. Entschädigungen nach Artikel 124 ZGB
Bezüglich Leistungen aus vorsorgerechtlicher Auseinandersetzung im Scheidungsfall im Sinne von Artikel 124 ZGB sind die Ausführungen massgebend in der Weisung StP 24 Nr. 7 Vorsorgeausgleich im Scheidungsfall - Steuerliche Behandlung der damit zusammenhängenden Leistungen.
1.7. Berechnung steuerbarer Anteil und Überschussleistungen ab Steuerperiode 2025
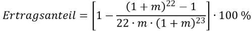
Gemäss Artikel 7 Absatz 2 Bst. a StHG und Artikel 22 Absatz 3 Bst. a DBG ist bei garantierten Leistungen aus Leibrentenversicherungen, die dem VVG unterstehen, der im Zeitpunkt des Vertragsabschlusses auf der Grundlage von Artikel 36 Absatz 1 VVG bestimmte maximale Zinssatz (m) während der gesamten Vertragsdauer massgebend. Zusätzlich sind die Überschussleistungen gemäss Artikel 7 Absatz 2 Bst. c StHG und Artikel 22 Absatz 3 Bst. c DBG im Umfang von 70% steuerbar.
Im Sinne einer Hilfestellung für die Steuerpflichtigen und die kantonalen Steuerbehörden wird die ESTV zudem jährlich eine Liste mit den aktuellen steuerbaren Ertragsanteilen im Sinne von Artikel 22 Absatz 3 Bst. a DBG publizieren.
Ist der Zinssatz grösser als null, so berechnet sich der Ertragsanteil, auf den nächstliegenden ganzen Prozentwert auf- oder abgerundet, wie folgt:

Ist dieser Zinssatz negativ oder null, so beträgt der Ertragsanteil null Prozent.
1.8. Steuerbare Quote ausländische Leibrenten sowie aus Leibrenten- und Verpfründungsverträgen
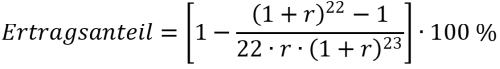
Bei Leistungen aus ausländischen Leibrentenversicherungen sowie Leibrenten- und Verpfründungsverträgen ist die Höhe der um 0.5 Prozentpunkte erhöhten annualisierten Rendite zehnjähriger Bundesobligationen (r) während des betreffenden Steuerjahres und der neun vorangegangenen Jahre massgebend.
Ist diese Rendite grösser als null, so berechnet sich der Ertragsanteil, auf den nächstliegenden ganzen Prozentwert auf- oder abgerundet, wie folgt:

Ist diese Rendite negativ oder null, so beträgt der Ertragsanteil null Prozent.
1.9. Steuerbare Quote bis und mit Steuerperiode 2024
Bis und mit Steuerperiode 2024 unterlagen pauschal 40% der Leibrenten der Einkommenssteuer. Dies galt unabhängig davon, ob es sich um Rentenzahlungen oder um Rückgewährleistungen handelte.
2. Einkünfte aus Zeitrenten
Keine Rente im steuerrechtlichen Sinn ist die sogenannte Zeitrente. Die Zeitrente ist nicht auf das Leben des Berechtigten gestellt. Sie besteht vielmehr in der periodischen, ratenweisen Rückzahlung eines verzinslichen Kapitals in gleichbleibenden Leistungen (sogenannte Annuitäten).
Die Zeitrente kann daher nicht voll als Einkommen besteuert werden. Die periodischen Leistungen, die in Kapitalquote (Kapitalverzehr) und Zinsquote (Kapitalertrag) zerfallen, sind nur im Umfang der Zinsquote auf der Grundlage von § 22 Ziffer 1 StG bzw. Artikel 20 Absatz 1 Bst. a DBG als Einkommen steuerbar. Die Kapitalquote ist eine blosse Vermögensumlagerung und daher nicht zu den steuerbaren Einkünften zu rechnen.
3. Vermögensbesteuerung Leibrente und Zeitrente
Gemäss § 48 StG unterliegen Kapital- und aufgeschobene Rentenversicherungen mit ihrem Rückkaufswert der Vermögenssteuer (vgl. StP 43 Nr. 1 Bewertung Vermögen). Somit unterliegen auch Leib- und Zeitrenten mit ihrem Rückkaufswert der Vermögenssteuer. Zum Rückkaufswert gehören grundsätzlich auch die aufgelaufenen Überschuss- und Gewinnanteile.